Zum Hauptinhalt springen Zur Suche springen Zur Hauptnavigation springen

Optimale Verbindung: Hochfrequenz-Koaxialstecker für Antennenkabel

banner_stecker

Zur Verbindung von Antennen, Antennenkabeln, Mobilfunk-Routern und Repeatern gibt es Stecksysteme und lösbare Verbindungen. Allerdings gibt es mit BNC, FME, TS9, CRC9, SMA & Co. eine schier endlose Anzahl an Koaxial-Verbindungstypen. Bei FTS Hennig finden Sie sowohl alle Koax-Steckverbinder als auch eine detaillierte Übersicht aller Antennenkabel Stecker.

Unterhalb der Produktliste finden Sie umfassende Informationen und Grundlagen zu den Steckern für Koax-Antennenkabel. Wir erläutern die Bauweisen, die technischen Größen und die Besonderheiten der verschiedenen Antennenkabel Stecker und Adapter für Koaxialkabel. Zur Frage "Welcher Stecker gehört an welchen Router?" existiert ein separater und umfassender Beitrag in unserem Blog.

Produkte filtern

N-Stecker Crimp

3,10 €
Art..Nr: FTS 95988
> 500 lagernd
N- Stecker FTS-H 500 (1/2")

6,70 €
Art..Nr: FTS 96086
SMA Stecker zum Crimpen

3,70 €
Art..Nr: FTS 95748
> 500 lagernd
TS9 - SMA - Adapter

3,36 €
Art..Nr: FTS 95909
> 500 lagernd
> 500 lagernd
Adapter SMA-FME

3,95 €
Art..Nr: FTS 95798
> 500 lagernd
> 500 lagernd
SMA Winkelstecker

3,80 €
Art..Nr: FTS 95954
> 500 lagernd
QMA Stecker RG174

5,20 €
Art..Nr: FTS 96203
> 500 lagernd
> 500 lagernd
N-Stecker 1/2" Kabel

4,90 €
Art..Nr: FTS 95989
> 500 lagernd
N-Kabelbuchse 1/2" Kabel

6,90 €
Art..Nr: FTS 95990
> 500 lagernd
> 500 lagernd
> 500 lagernd
N - Winkelstecker

5,64 €
Art..Nr: FTS 96152
Crimpzange für HF-Stecker

40,16 €
Art..Nr: FTS 96015
> 500 lagernd
SMA Winkelstecker Crimp

2,87 €
Art..Nr: FTS 96153

Grundlagen & technische Größen der Koaxialstecker

Bei Koaxial-Steckverbindungen liegen die gleichen physikalischen Bedingungen zugrunde wie bei den Koaxialkabeln an sich. Demnach stehen auch Impedanz, Frequenz, Dielektrikum, Dämpfung und der Reflektionsfaktor bei der Verwendung von Antennenkabel Stecker im Mittelpunkt.

Daher müssen ggf. nicht nur die üblichen Fragen nach dem passenden Stecker-Typ für die Antenne, den Router und den Repeateroder einem Antennenadapter gestellt werden, sondern auch technische und mechanische Eigenschaften verglichen werden.

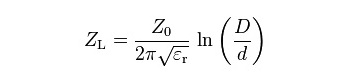
Impedanz

Berechnung des Wellenwiderstands

Berechnung der Impedanz (© FTS Hennig)

Die Impedanz in der modernen Funk-, Fernseh- und Mobilfunktechnik beträgt fast ausschließlich 50 Ω oder 75 Ω. Die 75 Ω Komponenten werden jedoch nur in der SAT | Fernsehtechnik und Videotechnik verwendet, während 50 Ω Koaxialkabel und Antennenstecker wiederum ausschließlich in der Funk- und Mobilfunktechnik eingesetzt werden.

Die Impedanz ist der Wechselstromwiderstand und wird als komplexes Verhältnis von Spannung und Strom verstanden. Mathematisch wird sie entsprechend als komplexe Funktion dargestellt. Störungen und Reflektionen treten in einer Übertragungskette immer dann auf, wenn sich die Spannungsverhältnisse zwischen Geräten und Übertragungsleitungen ändern. Daher muss der Antennenstecker den gleichen Wellenwiderstand wie das Antennenkabel aufweisen.

Wenn man davon ausgeht, dass Zo (Wellenwiderstand des Vakuums), 2p, und er (relative Permittivität des Dielektrikums) feste Größen sind und einen Faktor ergeben, hängt der Wellenwiderstand vom Verhältnis des Kabel-Durchmessers (D), des Schirms des Koaxialkabels und des Durchmessers (d) des Innenleiters (hier: Stift, Pin) ab. Demnach ist der Innenstift bei 75 Ω Steckern bei gleichbleibenden Steckerverhältnissen dünner als bei 50 Ω Steckern.

Frequenz

PL259 Stecker

PL259 Stecker (© FTS Hennig)

Die Bauform des Koaxialsteckers bestimmt den nutzbaren Frequenzbereich. Zum einen sind hier die Länge des Innenstiftes wie auch der Durchmesser des sogenannten Koaxialrohres frequenzbestimmend. Der Innenstift des PL259 UHF-Steckers beträgt bei unserem Modell ca. 1 cm. Dieser lange Stift wird in den oberen Frequenzbereichen selbst zur Antenne. Bei einer Frequenz von 7,5 GHz wäre der Stecker als Lambda Antenne sogar optimal abgeglichen. Dementsprechend werden für höhere Frequenzen wesentlich kleinere Stecker für die Geräte und Antennenkabel benötigt.

Die Miniaturisierung der Stecker für Sticks, mobile Router für 5G | LTE und WLAN sowie andere Funkmodems zur Platz-Einsparung spielt diesem Frequenzproblem entsprechend positiv zu.

Trotzdem werden auch in Zukunft für starke Antennenkabel große und robuste Antennenstecker benötigt. Hierfür wird zu einem einfachen Trick gegriffen. Der N-Stecker ähnelt z.B. dem äußeren Anschein nach dem UHF-Stecker. Bei N-Steckern wird der Schirm aber nicht über die Überwurfmutter übertragen, sondern über einen zusätzlich eingefügten Ring. Dieser hat nur einen Durchmesser von 7mm. Verschraubung und Überwurfmutter, die für das dicke FTS-H400S Kabel notwendig sind, haben auch hier einen Durchmesser von 2cm.

Abhängigkeit von Durchmesser & Frequenz in Koaxialsteckern
Ø Stecker fg​
12 mm PL 259 7,5G GHz
7 mm N 18 GHz
3,5 mm SMA, RPSMA 34 GHz
2,92 mm TS9 40 GHz
2,4 mm CRC9 50 GHz
1,85 V 67 GHz
1,0 mm W 110 GHz

Dielektrikum

Das Dielektrikum ist das Isolationsmaterial zwischen Innenstift und Abschirmung bzw. Steckergehäuse. Oft wird Polyethylen oder PTFE verwendet. Luft ist auch bei Steckern der beste Isolator. Für neue Typen hochwertiger Koaxialstecker verwendet Rosenberger auch LCP. Zenite® LCP weißt neben sehr guter Verarbeitbarkeit auch sehr gute dielektrische Eigenschaften über einen großen Temperaturbereich auf.

Dämpfung

Bei Koaxialsteckern spricht man von der Einfügedämpfung. Sie ist das logarithmische Verhältnis zwischen ankommender und durchgelassener Leistung P{in} und P{out}. Eine Zeit lang galt die Faustformel von 0,5dB Verlust je Steckverbinder. Auf Grund verbesserter Stecker für Koaxialkabel fällt der Verlust heute in der Regel geringer aus - zumindest bei den Antennenkabel Stecker, die wir verwenden. ;-)

Neben den Steckern selbst spielt die sachgerechte Montage eine sehr große Rolle für die Verlustrate. So können Fehler in der Montage zum kompletten Versagen des Steckers und damit des Antennenkabels führen. Wir empfehlen daher fertig konfektionierte Antennenkabel. Wenn Sie 5G-Anschlusskabel mit #made_in_sachsen von FTS Hennig verwenden und Antennen Stecker konfektionieren lassen, machen Sie alles richtig.

Reflektionsfaktor

Der Reflektionsfaktor, bei Antennen und Koaxialkabel auch Stehwellenverhältnis genannt, ist ein Maß für die Durchgängigkeit der Welle. Der Reflektionsfaktor ist abhängig von der Abstimmung aller an der Übertragung beteiligten Komponenten. Er beschreibt das Verhältnis zwischen reflektierter Spannung und gesendeter Spannung. Man kann auch sagen: Es ist das Verhältnis der rücklaufenden Welle zur ausgesendeten Welle. Im Idealfall wird die Welle am Antennenkabel Stecker nicht gebrochen und die Energie wird zu 100% übertragen.

FAZIT

Nicht jeder Antennenstecker kann für jeden Anschluss eines Antennenkabels verwendet werden. Neben der Bauform und den grundlegenden technischen Eigenschaften, spielen die Güte des Steckers und die Montage eine wichtige Rolle. Wer an der falschen Stelle spart muss mit teils hohen Signalverlusten an der Antennenleitung mit Stecker rechnen. Vertrauen Sie am besten auf deutsche Marken-Qualität von FTS Hennig - #made_in_Sachsen!

SMA Stecker

Sub-Miniature-A-Stecker, kurz SMA-Stecker, sind in der heutigen Mobilfunktechnik häufig verwendete Koaxialstecker zur Verbindung der Antennenkabel. Trotz der geringen Abmaße bietet ein SMA-Stecker eine große mechanische Stabilität und kann in handelsüblichen Ausführungen für Frequenzbereiche von 1 GHz bis 18 bzw. 26,5 GHz genutzt werden.

Besonders gefertigte Stecker für Antennenkabel eignen sich für noch höhere Frequenzbereiche. Diese, teilweise bis 40 GHz zugelassenen Stecker, werden in der Weltraumtechnik verwendet.

Hersteller von LTE und 5G Routern verwenden häufig SMA-Gerätebuchsen für Antennenkabel Anschlüsse von externen Antennen. Die Geräte- oder Kabelbuchse besitzt ein Außengewinde und der Kontaktstift ist weiblich (female). Der Stecker besitzt außen die Größe Hex 8 und kann mit einem Maulschlüssel M8 festgezogen werden. Der Koaxial Stecker Buchse hat ein Innengewinde und den männlichen Pin (male).

Je nach Ausführung können die Stecker vergoldet oder vernickelt sein. SMA-Stecker gibt es für verschiedene Kabeltypen. Üblicherweise besitzen die SMA-Stecker 50 Ohm Impedanz

RP-SMA Stecker

Der RP-SMA-Stecker ist äußerlich genauso aufgebaut wie der SMA Stecker und hat auch die gleichen mechanischen Dimensionen. Das "RP" kommt von Reverse-Polarity. Das heißt Stifte und Pin im Stecker und in der Buchse sind getauscht. Der Stecker (Innengewinde) hat den weiblichen Pin und in der Steckerbuchse ist der männliche Stift.

Die RP-SMA Stecker werden ausschließlich an WLAN-Routern, Accesspoints und LoRa WAN Geräten verbaut.

In alten Überlieferungen heißt es, dass man damals mit dieser Variante den Anschluss externer WLAN-Antennen an Routern zur Reichweitenerhöhung unterbinden oder wenigsten erschweren wollte. Unterdessen sind mittlerweile aber alle Stecker-Typen leicht verfügbar und damit hat diese Thematik keine praktische Relevanz mehr. Die WLAN-Geräte-Hersteller sind jedoch bei den RP-SMA Steckern geblieben.

PL oder UHF Stecker

Den PL-Stecker findet man heute nur noch an niederfrequenten Amateurfunkgeräten, CB-Funkgeräten oder an älteren Betriebsfunkgeräten. Für den heutigen Mobilfunk in der DACH-Region ist der Stecker, wie oben schon beschrieben, völlig ungeeignet. Scherzhaft wird der Stecker auch UHF-Stecker („Ungeeignet für Hoch Frequenz“) genannt.

N-Stecker

Seit seiner Entwicklung entwickelte sich der N-Stecker zum wichtigsten Steckertyp in der professionellen Funktechnik. Auf Grund der Bauform kann der Stecker bis 18 GHz eingesetzt werden.

Der Name des N-Steckers hat 2 Ursprünge. Die einen sagen, das N komme von dem Namen des Erfinders Paul Neill, der den Stecker 1940 entwickelte. Aus anderen Quellen heißt es, das N stamme von "Navy-Stecker", denn die Stecker wurden zuerst in der US-Marine für die Funktechnik eingesetzt.

Den N-Stecker gibt es für fast alle Kabeltypen. Für RG174 Kabel, welches nur 2,9mm stark ist, sind die Kabelausführungen entsprechend dünn gestaltet. Währenddessen sehen die Antennenstecker für das Antennenkabel FTS-H400 und FTS-H500 größer und robuster aus. Der eigentliche Steckerkopf ist aber immer gleich. Wegen der mechanischen Festigkeit und Witterungsbeständigkeit findet man die N-Stecker vorwiegend an Außenantennen. Im BOS- und Militärfunk werden die Stecker auch für die Funkgeräte verwendet.

BNC-Stecker

Mit Carl Concelmann entwickelte Paul Neill, der ja bereits den N-Stecker erfand, den BNC-Stecker in den 40ziger Jahren des 20. Jahrhunderts. Über die Herkunft des Namens wird viel spekuliert. Bei allen Überlegungen steht das "B" immer für Bajonet, denn der Stecker besitzt eine Verriegelung - wie man es von einem Bajonetverschluss kennt. Der Stecker wurde für sichere aber schnelle Verbindungen entwickelt. Stecker an Messgeräten konnten so erstmals schnell umgesteckt werden.

Aus diesem Grund sind auch die Anschlüsse an Messgeräten wie Oszilloskop, Frequenzzähler und Funktionsgenerator damals in BNC-Technik ausgeführt worden. Die BNC-Stecker wurden bis 1 GHz zugelassen. Die heutigen Stecker sollen gemäß Herstellerangaben bis 4GHz funktionieren.

In den Neunziger Jahren verwendete man BNC-Stecker in 10BASE2-Rechnernetzwerken mit RG-58-Kabel (50 O). Über diese Netzwerke konnten nur 10 MBit/s übertragen werden und daher wurden diese schnell wieder abgeschafft. BNC-Stecker wurden auch für Funkgeräte benutzt. Die Stabantennen konnten so schnell arretiert werden. Die Firma novero Dabendorf verwendet als einziger Antennenhersteller BNC-Anschlussbuchsen an deren Antennen.

Da die Anschlüsse nicht unbedingt überzeugend wasserdicht sind, wurden zusätzlich Abdeckkappen entwickelt.

TNC-Stecker

TNC-Stecker ähneln in den Dimensionen den BNC-Steckverbindern. Im Unterschied zu den Bajonet-Steckern (BNC) werden die TNC-Stecker geschraubt. Das "T" kommt von "Threaded" und bedeutet "geschraubt" (Thread = Gewinde). Für die Navy waren die BNC-Stecker nicht stabil genug. Durch Vibrationen und Erschütterungen verloren die BNC-Stecker den Kontakt. Deshalb entwickelte Neill die Stecker weiter.

Die TNC-Stecker können bis 11 GHz verwendet werden. Sie wurden in der DDR für die Betriebsfunkgeräte verwendet. Später verbaute auch das Funkwerk Köpenick die Stecker an den Bündelfunkgeräten. Heute nutzt Cisco die Stecker für die LTE-Router.

FME Stecker

FME-Stecker (For Mobile Equipment) sind Miniatur-Steckverbinder für Mobilfunkantennen im Fahrzeugbereich. Die FME-Stecker blieben aber nicht in der Fahrzeugindustie, sondern verbreiteten sich in der gesamten Mobilfunkbranche. Da die Stecker nur bis 2 GHz eingesetzt werden sollten, werden die FME-Stecker mittlerweile langsam von anderen Steckern (Bsp.: SMA Stecker) verdrängt. Für Fahrzeuge werden heute meistens Fakra Stecker verwendet

Die FME-Stecker entwickelten sich in der Vergangenheit zu universellen Übergangssteckern. Viele Antennen- und Kabelhersteller verwendeten die FME-Kabelbuchse als Kabelabschluss. Parallel dazu wurden eine Vielzahl von Adaptern entwickelt. So kann ein Kabel mit FME-Buchse mittels Adapter nahezu in jeden Steckertyp gewandelt werden.

SMBA-(FAKRA) Stecker

Die SMBA-Steckverbinder (FAKRA >> Fachkreis Automobil) DIN 72594-1 und USCAR-18 besitzen die gleichen Dimensionen wie SMB-Stecker. Die Firma Rosenberger Hochfrequenztechnik entwickelte im Jahr 2000 die Stecker bzw. Gehäuseserie für die Verwendung im Automobilbereich. In der Fahrzeugindustrie wurden immer mehr und vor allem verschiedene HF-Leitungen und einfach abgeschirmte Leitungen benötigt. Der Einsatzbereich erstreckt sich von einfachen Antennensignalen (UKW mit oder ohne Fernspeisung, Fernsehsignale) über Hochfrequenz-Signale für "Keyless-entry-Systeme" und Mobilfunk bis hin zu GPS und Telematik. Alle Steckverbinder wurden mit 50 O Impedanz entwickelt.

Das Besondere an den FAKRA-Steckern sind die sowohl farbliche als auch mechanische Kodierung. Es wurden bis heute 14 verschiedene Kodierungen festgelegt. Dabei wird einheitlich zu jeder Kodierung das zu übertragende Signal festgelegt. So ist zum Beispiel GSM / Cellular immer bordeaux und GPS immer violett kodiert. Die genaue Auflistung können Sie im Rosenberger FAKRA Coding Dokument nachschlagen.

Bei der Entwicklung der FAKRA Serie wurde viel Wert auf die speziellen Anforderungen im Automobilbereich gelegt. Das sind unter anderem Temperaturbedingungen, Vibrationen wie auch die standardisierte und verwechslungssichere Montage in der Fertigung der Fahrzeuge. Die FAKRA-Stecker rasten über Klinken im Gehäuse ineinander. Durch Entriegelung kann die Verbindung wieder getrennt werden. Die FAKRA-Stecker gibt es als einzelne wie auch doppelte Stecker. Eine weitere Anreihung ist bei Bedarf jederzeit möglich.

Die FAKRA Buchse auf dem Bild gehört zu dem Antennenanschluss des Aktiv-Verstärkers für GSM, DCS und 3G. Der "waterblue" FAKRA-Stecker gehört zur Stromeinspeisebox der aktiven 3G Antenne von novero Dabendorf. Dieser Stecker besitzt eine Besonderheit: Die Stecker mit der Farbe besitzen die sogenannte Nullkodierung. Das heißt, er passt in alle anders kodierten FAKRA-Buchsen hinein.

MCX, MMCX und SSMCX

Diese kleinen Steckverbinder wurden um 1990 entwickelt. Die Namensgebung der Stecker kommt von Miniature CoaX (MCX), Micro Miniature CoaX (MMCX) und Super Small MCX (SSMCX). Die MCX-Stecker haben einen Durchmesser von 3,5mm und sind mit 50 O und 75 O Impedanz erhältlich. Die MCX- und MMCX-Stecker sind nur bis 6 GHz spezifiziert. Die SSMCX können wegen des kleineren Durchmessers bis 10 GHz arbeiten.

MCX-Stecker wurden für den Antennenanschluss an der Sagem RL500 VoiceBox verwendet. Die MMCX-Stecker wurden an PCMCIA-Karten der Firma Kyocera und 3Com verbaut. SonyEricsson verwendete auch diese Stecker für die Antennenanschlüsse. Anwendungen bei den heutigen Mobilfunkgeräten sind uns nicht bekannt.

TS9-Stecker

Die TS9-Stecker sind 2,5mm Stecker. Damit sind diese Stecker klein genug für den Einbau in Sticks und für die Übertragung hoher Frequenzen. Die TS9-Steckverbinder wurden von der Firma SMK entwickelt. Die TS9-Stecker werden nur gesteckt. Größere mechanische Belastung hält der Antennenkabel Anschluss Stecker nicht aus. Trotzdem ist der Stecker bei den Herstellern von Sticks LTE-Routern und 5G Routern sehr beliebt.

CRC9-Stecker

Huawei konnte sich lange Zeit intern nicht einigen, ob an die Geräte TS9-Stecker oder CRC9-Stecker verbaut werden. Einige Geräte sind mit CRC9 und andere mit TS9-Steckern versehen. Die Übersicht dazu findet man ebenfalls in unserem Stecker-Router-Lexikon. Im Vergleich zu dem TS9 Stecker (2,5mm) hat der CRC9 Stecker nur 2,1mm Durchmesser.

WICHTIG: Der CRC9-Stecker wird auch TS5-Stecker genannt!

Lucent-Stecker

Der Lucentstecker oder MC-Card Stecker erlebte seinen Höhepunkt mit der Entwicklung der PCMCIA Karten der Firma Option/Qualcomm. Die Stecker dienten dem Anschluss der externen Antenne. Später verwendete Qualcomm die Stecker auch noch an 3G Routern. Die Stecker waren für mehrmaliges Stecken sehr ungeeignet. Die Stecker waren sehr schnell kaputt. Wahrscheinlich hat man die Entwicklung deshalb eingestellt.

SMB, SMS, SMC & SMP

SMB-Stecker (Sub-Miniature-B) entsprechen dem Stecker-Typ nach dem FAKRA Stecker. Den SMB-Steckers fehlen lediglich die FAKRA typischen Gehäuse. SMB-Steckverbinder haben eine sogenannte Schnapptechnik, die eine schnelle aber sichere Verbindung gewährleistet. Die Stecker sind bis zu einer Frequenz von 4 GHz einsetzbar. SMC-Steckverbinder besitzen dem gegenüber vibrationsbeständige Schraubverbindungen und sind bis zu einer Frequenz von 10 GHz einsetzbar.

SMS-Steckverbinder werden besonders für Einschubgehäuse verwendet. Über diese Verbinder werden die Baugruppen auf einer Hauptplatine konnektiert. Sie sind bis zu einer Frequenz von 4 GHz einsetzbar.

Die Steckverbindungen der Serie SMB / SMC / SMS haben einen Wellenwiderstand von 50 Ohm Steckverbinder Varianten gibt es für flexible, Semi-Flex- und Semi-Rigid-Kabel. Die Leiterplattensteckverbinder der Serie SMB / SMC / SMS sind als Löt- bzw. Einpresstypen bei Telegärtner erhältlich. Kabel werden durch Löten oder Crimpen angeschlossen. Die Stecker entsprechen den Normen IEC 60 169-9 und IEC 60 169-10. Die Steckverbinder der Serie SMB / SMC / SMS werden in einer Vielzahl von elektronischen Geräten als interne Verbinder eingesetzt.

Eigenschaften der SMB-Stecker
Anschließbares Koaxialkabel Typisch: RG316, RG174, RG 188
Lebensdauer (Steckungen): Standard-Ausführung = 100
Lebensdauer (Steckungen): MIL-Ausführung = 500
Durchgangswiderstand Innenleiter ≤ 5 mΩ
Durchgangswiderstand Außenleiter ≤ 2.5 mΩ
Spannungsfestigkeit 750 V / 50 Hz
Wellenwiderstand 50 Ω
Frequenzbereich bis 4 GHz SMB/SMS; 10 GHz SMC

WICLIC-Steckverbinder

Der WICLIC-Stecker wurde von der Firma WISI als 75 O Variante entwickelt. Bei Recherchen stellt man schnell fest, dass der Stecker sich nicht richtig durchsetzen konnte. Es gibt nur fertig konfektionierte Anschlusskabel zu kaufen. Neben den F-Steckern und den Belling-Lee-Steckern (IEC) soll über den WICLIC-Stecker das Datensignal übertragen werden. Zudem verwenden verschiedene GPS-Antennen diesen Stecker.

F-Stecker

Die F-Steckverbinder (IEC 60169-24) sind die am häufigsten verwendeten Antennenstecker für Fernseh- und Satelittentechnik. Die koaxialen Steckverbinder werden geschraubt. Dabei wird der Innenleiter des Koaxialkabels als Stift für den Stecker verwendet. Die F-Stecker können bis etwa 5 GHz mit einer definierten Wellenimpedanz von 75 O verwendet werden.

Da, wie schon oben erwähnt, der Wellenwiderstand von dem Verhältnis des Außendurchmessers zum Durchmesser des Innenleiters abhängt, muss entsprechend den verwendeten Koaxialkabeln auch der Durchmesser des Steckers selbst variieren. Über eine Kodierung werden die Stecker klassifiziert.

Einteilung der F-Stecker
Anzahl der Ringe Kabel Durchmesser
3 4,0 mm
2 5,0 - 5,2 mm
1 5,8 – 6,1 mm
0 7,0 - 8,2 mm

Die F-Stecker gibt es in verschiedenen technischen Ausführungen. So werden die einfachen Stecker, wie auf dem Bild, aufgeschraubt. Von Firmen bei der Installation verwendete Stecker werden gepresst. Die elektrische Verbindung wird dadurch dauerhafter und stabiler. Zudem gibt es wasserdichte F-Stecker und Adapter.

Microwave-Stecker

Die Microwave Stecker von Sensorview sind Koaxialstecker oder auch HF Verbindungsstecker genannt. Flexible Microwave Kabel benötigen robuste Microwave Stecker. Diese Stecker wurden nach HF-Design entwickelt und können Millimeterwellen bei 60 GHz besonders gut übertragen. Eine geringe Latenzzeit und eine hohe Störfestigkeit können dank kupferbasierter Steckverbinder garantiert werden. HF-Steckerkonfektionen können je nach Anwendung gefertigt werden.

Von den verschiedenen Varianten sind die N-Stecker und die SMA-Stecker die interessantesten. Klassische N-Stecker und SMA-Stecker bedienen die Frequenzen 6 bis 10 GHz, im Vergleich dazu können Microwave N-Stecker den Frequenzbereich bis 18 GHz und Microwave SMA-Stecker Anwendungen bis 40 & 50 GHz abdecken.

Vergleich der mmWave Kabel nach Frequenz und Dämpfung
Bezeichnung Frequenz in GHz Dämpfung(db/m) N SMA 3.5mm HFSMA 2.92mm 2.4mm 1.85mm
11F8G/11U8G/11S8G/11A8G
11S8GD/11A8DG
8 0.91 max x x - - - - -
9F18GD 18 1.25 max x x - - - - -
13S26/13A26/13F26 26.5 1.55 max - x x x - - -
11S33/11A33/11S33D/11A33D 33 2.00 max - - - x - - -
9S40/9A40/8F40WD 40 2.60 max - - - - x x -
7A50D 50 3.90 max - - - - - x -
5A67D 67 6.40 max - - - - - - x

Belling-Lee-Steckverbinder

Belling-Lee-Steckverbinder wurden schon 1922 von der englischen Firma Belling-Lee Ltd. für den Antennenanschluss an Radios entwickelt. Noch heute findet man die Stecker an den Fernsehgeräten und Antennensteckdosen von Kabelnetzen für den klassischen HF-Zugang. Sowohl das analoge terrestrische Fernsehsignal wie das digitale wurde über die Stecker übertragen. Auch das digitale Kabelsignal wird noch heute mit den Steckern übertragen.

In Deutschland hat sich allerdings die Bezeichnung der Stecker nicht durchgesetzt. Oft werden die Stecker als IEC-Stecker oder Koax-Stecker bezeichnet. Die Stecker besitzen eine Impedanz von 75 O.

Hirose-Stecker

U.FL-Stecker (auch IPX oder Ipex) von Hirose sind Miniaturstecker von nur 3mm Durchmesser. Der Stecker wird für interne Gerätebaugruppen verwendet. Häufig findet man Stecker und Buchsen an WLAN-Baugruppen.

MikroTic und UBIQUITI sind Vertreter für IPX-Steckverbindungen. AVM nutzt die Stecker ebenfalls, z.B. intern für die Antennenanschlüsse bei der FRITZ!Box 6820.

Die Stecker werden als weibliche Variante (female) ausgeführt. Wegen der geringen Größe der Stecker kann auch nur sehr dünnes Kabel von 1.13 mm, 1,31 mm oder 1.47 mm Durchmesser angeschlossen werden. Die Längen der Leitungen dürfen daher nur sehr kurz sein. Es sind längen bis 50cm erhältlich. Typisch sind aber ca. 10cm.

UMTC (Ultra Miniature Telecommunications Connector)

Alternativ zu den amerikanischen Steckern entwickelte Telegärtner Stecker, die steck-kompatibel zu U.FL, MHF (I-PEX) und vergleichbaren Steckverbinder Serien sind. Telegärtner fertigt Kabel, die auf jeder Seite eine UMTC-Winkelbuchse haben oder alternativ auf einer der beiden Seiten mit einem Steckverbinder der Serien SMA, R-SMA, TNC und R-TNC konfektioniert sind. Als Koaxialkabel wird auch hier ein Kabel mit einem Außendurchmesser von 1,13 mm verwendet. Das Kabel und die UMT-Connectoren können bis zu einer Frequenz von 6 GHz eingesetzt werden.

Haupteinsatzgebiet der UMTC-Leitungen sind Verbindungen zu Leiterplatten, auf denen nur sehr wenig Platz für eine Koaxial-Verbindung zur Verfügung steht (z. B. in Geräten mit GSM- oder W-LAN Modulen).

Mechanische Eigenschaften von UMTC nach Telegärtner
Lebensdauer (Steckungen) < 30
Ziehkraft > 15 N
Werkstoff: Federnde Kontaktteile / Außenleiter phosphor bronze
Werkstoff: Isolierteile PBT
Oberfläche: Innenleiter / Außenleiter AU
Elektrische Eigenschaften UMTC nach Telegärtner
Durchgangswiderstand Innenleiter < 20 mO
Durchgangswiderstand Außenleiter < 10 mO
Isolationswiderstand > 500 MO
Wellenwiderstand 50 O
Rückflussdämpfung < 17 dB / 6 GHz
Betriebsspannung 200 Veff / 50 Hz
Frequenzbereich bis 6 GHz

Interessant ist auch die Verwendung der UMTC-Steckverbindern an Einbau-Koaxialbuchsen. Es können so die UMTC-Kabel beidseitig mit Steckern versehen werden. Je nach Anwendung wird adaptiert oder auf die Baugruppe gesteckt. Wegen der geringen Höhe von 2,5 mm können die Baugruppen sehr dicht montiert werden.

7-16-Serie-Stecker

DIN 7/16-Steckverbinder wurden von der Firma Spinner entwickelt. Der Name entstammt den metrischen Maßen des Durchmessers des Innenleiters (7 mm) und des Dielektrikums (16 mm). Die massiveren Stecker erlauben hohe Übertragungsleistungen von bis zu 1800 Watt bei 1 GHz. Die deutschen Netzbetreiber Telekom, Vodafone & Telefónica sowie auch alle anderen Netzbetreiber im Ausland verwenden das Steckersystem für die Basisstationen.

Die stabilen Steckverbindungen verfügen über einen Schraubverschluss und sind wasserdicht. Sie können je nach Ausführung bis zu einer Frequenz von 7.5 GHz eingesetzt werden. Neben hoher Übertragungsleistung erfüllt das Stecksystem auch Eigenschaften wie Vibrations- und Witterungsbeständigkeit. Die spezielle Konstruktion der 7-16 Steckverbinder gewährleisten hervorragende Ergebnisse bei Rückflussdämpfung (VSWR) und Intermodulationsfestigkeit. Die Steckverbinder erfüllen die Querdichtigkeit im Steckgesicht zwischen Stecker und Buchse im gesteckten Zustand gemäß IP 68. Diese Schutzklasse ist pauschal für die Serie 7-16 festgelegt worden.

4.3-10 Stecker

Der 4.3-10 Steckverbinder ist eine relativ neuere Entwicklung in der Welt der HF-Koaxialsteckverbindungen, die darauf abzielt, die Anforderungen moderner Telekommunikationsnetze, einschließlich Mobilfunkbasisstationen, zu erfüllen. Dieser Steckertyp bietet im Vergleich zu älteren Steckverbindungen wie dem N- oder 7/16-DIN-Stecker einige signifikante Vorteile. Hier sind einige der wichtigsten Eigenschaften und Vorteile des 4.3-10 Steckverbinders:

1. Kompakte Größe: Der 4.3-10 Steckverbinder ist kleiner und leichter als viele herkömmliche Steckverbindungen. Dies ist besonders vorteilhaft in Anwendungen, wo Platz begrenzt ist und viele Verbindungen benötigt werden, wie z.B. bei Mobilfunkbasisstationen.
2. Hohe Leistung: Trotz seiner kleineren Größe bietet der 4.3-10 Steckverbinder eine ausgezeichnete Leistung, einschließlich niedriger passiver Intermodulation (PIM), was zu einer besseren Signalqualität und Netzwerkleistung führt.

3. Vielseitigkeit: Der 4.3-10 Steckverbinder ist in verschiedenen Ausführungen erhältlich, die Schraub-, Hand-Schraub- und Schnappverriegelungsmechanismen umfassen. Dies ermöglicht eine flexible Anwendung in verschiedenen Umgebungen und Situationen.
4. Wetterbeständigkeit: Diese Steckverbinder sind für den Einsatz in rauen Umgebungsbedingungen konzipiert und bieten hervorragende Wetterbeständigkeit, was sie ideal für Außenanwendungen macht.
5. Einfache Installation: Die einfache Handhabung und das Design des 4.3-10 Steckverbinders erleichtern die Installation und Wartung, was Zeit und Kosten spart.
6. Hervorragende elektrische Eigenschaften: Der Steckverbinder zeichnet sich durch sehr gute elektrische Eigenschaften aus, einschließlich eines breiten Frequenzbereichs und niedriger VSWR (Voltage Standing Wave Ratio) und PIM-Werte.
7. Zuverlässigkeit: Die robuste Konstruktion und die Qualität der Materialien gewährleisten eine zuverlässige Verbindung über einen langen Zeitraum, auch unter schwierigen Betriebsbedingungen.

Die Kombination dieser Eigenschaften macht den 4.3-10 Steckverbinder zu einer beliebten Wahl für Anwendungen, die eine zuverlässige, leistungsfähige und platzsparende HF-Verbindung erfordern, insbesondere in der Mobilfunkinfrastruktur.

AP-4000-Stecker

Der AP-4000-Stecker ähnelt mechanisch dem MC-Card-Stecker. Die Gehäusemaße betragen allerdings 5 x 5 mm. Der AP-4000-Stecker wird von Proxim für die Geräteserie AP 4000 verwendet. Die Behauptung, der Lucentstecker wäre mit dem AP-4000-Stecker von Proxim identisch, entspricht nicht der Wahrheit. Bei entsprechenden Steckerlieferanten werden die Stecker in völlig verschiedenen Kategorien geführt.

RP-Serien TNC-Reverse, BNC Reverse Stecker

Wie auch bei den RP-SMA Steckern gibt es für TNC- und BNC-Stecker Reverse Varianten. Das "RP" steht für Reverse Polarity, also umgekehrter Polarität. Stift und Steckhülsen sind in Stecker und Buchse entgegen der üblichen Bauform angeordnet. Gewöhnlich hat der Stecker den Stift und die Buchse die Hülse. Hier ist es genau anders herum. Diese Sonderformen werden gern für WLAN verwendet.

QN Stecker

Der QN-Steckverbinder ist ein "schneller N-Stecker" (Quick-N). Der QN-Stecker wird nur gesteckt statt geschraubt. Im gesteckten Zustand ist der Stecker um 360° drehbar und bis 11 GHz geeignet. Die Firmen Radiall und Huber+Suhner entwickelten als erste diese Steckervariante. Die Applikationen des N-Steckers wurden notwendig, weil diese wesentlich schneller in den Mobilfunk-Basisstationen (wie Nortel S18000) montiert werden konnten.

QMA-QLS Stecker

QMA-Steckverbinder sind die kleinere Variante des QN-Steckverbinders. Sie basieren auf dem SMA-Stecker und sind bis 18 GHz verwendbar. Die schnell verriegelnden koaxialen Steckverbinder entsprechen dem Quick Lock Standard QLS®. Die QMA-QLS Stecker sind eine sichere Alternative zu den herkömmlichen SMA-Steckverbindern. Der besondere Vorteil der QLS-Steckverbinder liegt im patentierten Verriegelungsmechanismus, der eine zeitsparende und werkzeuglose Verbindung ermöglicht.

Die Vorteile des QLS/QMA gegenüber dem SMA Stecker

Die Vorteile des QLS gegenüber dem QMA Stecker

Telegärtner zeigt, dass die QLS-Stecker nun schon wieder die Weiterentwicklung des QMA Steckers sind. Beide Systeme sollen aber kompatibel zu einander sein. FTS Hennig hat eine eigene Fertigungslinie für QMA Stecker. Die Stecker werden nun auch an 5G Routern verwendet.

UNF 10-32 Stecker

Der UNF 10-32 Gewindestecker ist ein spezifischer Typ von Miniatur-Gewindeverbindung, der häufig in der Sensorik und Regeltechnik, insbesondere bei pneumatischen Anwendungen, verwendet wird. Das "UNF" steht für "Unified National Fine", was auf das Feingewinde dieses Systems hinweist. Die Bezeichnung "10-32" gibt den Durchmesser und die Gewindesteigung an, wobei "10" für den Nominaldurchmesser des Schraubengewindes steht und "32" die Anzahl der Gewindegänge pro Zoll angibt.

Hier sind einige wichtige Eigenschaften und Anwendungsbereiche der UNF 10-32 Steckverbindungen:

1. Feingewinde: Das Feingewinde sorgt für eine bessere Haltekraft in dünnwandigen Materialien und ermöglicht eine präzisere Einstellung bei der Montage.
2. Kleine Größe: Die geringe Größe des 10-32 Gewindes macht es ideal für Anwendungen, bei denen der Platz begrenzt ist.
3. Hohe Zuverlässigkeit: Diese Steckverbindungen bieten eine hohe Zuverlässigkeit und eine gute Dichtungsleistung, was sie besonders für kritische Anwendungen geeignet macht.
4. Materialien: Sie sind in verschiedenen Materialien erhältlich, einschließlich Edelstahl und Messing, um Korrosionsbeständigkeit und Kompatibilität mit verschiedenen Medien zu gewährleisten.

Anwendungsbereiche:
1. Sensoren und Messgeräte: In der Sensorik werden UNF 10-32 Steckverbindungen häufig verwendet, um Sensoren zu befestigen oder anzuschließen, die Druck, Durchfluss, Position usw. messen.
2. Pneumatik: In pneumatischen Systemen dienen sie zum Anschluss von Komponenten wie Ventilen, Zylindern und Druckreglern.
3. Feinmechanik und Instrumentierung: Aufgrund ihrer kleinen Größe und ihrer präzisen Einstellmöglichkeiten sind sie in der Feinmechanik und Instrumentierung weit verbreitet.

Die UNF 10-32 Steckverbindung ist für ihre Präzision und Zuverlässigkeit in Anwendungen geschätzt, wo feine Einstellmöglichkeiten und eine starke, dichte Verbindung erforderlich sind. Ihr Einsatz ist besonders in der Automatisierungstechnik, Luft- und Raumfahrt, sowie in der Automobilindustrie zu finden, wo präzise und zuverlässige Verbindungen für die Leistung und Sicherheit des Systems entscheidend sind.

FAZIT

Ein Großteil der auf dem Markt erhältlichen Stecker für Antennen, Antennenkabel, Router & Repeater kommen in der Praxis nur selten zum Einsatz. Andere Steckverbindungen, wie z.B. SMA-, FME- und TS9-Stecker, sind weit verbreitet und daher werden häufig Stecker, Adapter, Kabel und Verlängerungen benötigt. Sprechen Sie uns bei weiteren Fragen einfach an - wir freuen uns auf Sie!